介绍:NoSql,非关系型数据库;单线程+多路IO复用技术
Redis的原子性
由于redis是单线程的,所有单个命令的执行都是原子性的
适用场景:
- 对数据高并发的读写
- 海量数据的读写
- 对数据高可扩展性的
重点:redis和Memcache
- Redis
- 几乎覆盖了Memcached的绝大部分功能
- 数据都在内存中,支持持久化,主要用作备份恢复
- 除了支持简单的key-value模式,还支持多种数据结构的存储,比如 list、set、hash、zset等。
- 一般是作为缓存数据库辅助持久化的数据库
- Memcache
- 很早出现的NoSql数据库
- 数据都在内存中,一般不持久化
- 支持简单的key-value模式,支持类型单一
- 一般是作为缓存数据库辅助持久化的数据库
1、配置文件常用配置
- bind:默认bind=127.0.0.1只接受本机的访问,若要远程访问需要注掉
- protected-mode:默认yes,在没设置bind ip切没有密码时,仅运行接受本机响应,要远程访问需要改为no
- port:端口,默认6379也不用改
- daemonize:是否为后台进程,设置为yes能在后台保持启动
- requirepass:设置需要密码,后面直接跟想要设置的密码
2、redis的启动关闭
首先备份redis.conf到/myredis目录,cp /opt/redis-6.2.6/redis.conf /myredis
#用redis-server启动
redis-server/myredis/redis.conf
#用客户端访问redis-cli
redis-cli
#多端口启动
redis-cli -p6379
#登录密码验证
auth [password]
#密码验证完成测试能否ping通,成功响应pong
ping
#单实例关闭
redis-cli shutdown
#多实例关闭,指定端口z
redis-cli -p 6379 shutdown
3、常用五大数据类型
基本命令:
#查看当前库所有key (匹配:keys *1)
keys *
#判断某个key是否存在
exists key
#查看你的key是什么类型
type key
#删除指定的key数据
del key
#根据value选择非阻塞删除 (仅将keys从keyspace元数据中删除,真正的删除会在后续异步操作)。
unlink key
#10秒钟:为给定的key设置过期时间
expire key 10
#查看还有多少秒过期,-1表示永不过期,-2表示已过期
ttl key
select 命令切换数据库
dbsize 查看当前数据库的key的数量
flushdb 清空当前库
flushall 通杀全部库
3.1、String字符串
String类型是二进制安全的。意味着Redis的string可以包含任何数据。比如jpg图片或者序列化的对象。
String类型是Redis最基本的数据类型,一个Redis中字符串value最多可以是512M
3.1.1 常用命令
set <key><value> #添加键值对
get <key> #查询对应键值
append <key><value> #将给定的<value> 追加到原值的末尾
strlen <key> #获得值的长度
setnx <key><value> #只有在key不存在时 设置 key 的值
incr <key> #将 key 中储存的数字值增1;只能对数字值操作,如果为空,新增值为1
decr <key> #将 key 中储存的数字值减1;只能对数字值操作,如果为空,新增值为-1
incrby/decrby <key><步长> #将 key 中储存的数字值增减。自定义步长。
mset <key1><value1><key2><value2> #同时设置一个或多个 key-value对
mget <key1><key2><key3> #同时获取一个或多个 value
msetnx <key1><value1><key2><value2> #同时设置一个或多个 key-value 对,当且仅当所有给定 key 都不存在。
getrange <key><起始位置><结束位置> #获得值的范围,类似java中的substring,前包,后包
setrange <key><起始位置><value> #用<value>覆写<key>所储存的字符串值,从<起始位置>开始(索引从0开始)。
setex <key><过期时间><value> #设置键值的同时,设置过期时间,单位秒。
getset <key><value> #以新换旧,设置了新值同时获得旧值。
原子性,有一个失败则都失败
3.1.2 数据结构
String的数据结构为简单动态字符串(Simple Dynamic String,缩写SDS)。是可以修改的字符串,内部结构实现上类似于Java的ArrayList,采用预分配冗余空间的方式来减少内存的频繁分配.

扩容机制:
如图中所示,内部为当前字符串实际分配的空间capacity一般要高于实际字符串长度len。
当字符串长度小于1M时,扩容都是加倍现有的空间;
如果超过1M,扩容时一次只会多扩1M的空间。
需要注意的是字符串最大长度为512M。
3.2、List列表
Redis 列表是简单的字符串列表,按照插入顺序排序。
可以添加一个元素到列表的头部(左边)或者尾部(右边)。
3.2.1 常用命令
lpush/rpush <key><value1><value2><value3> #从左边/右边插入一个或多个值。
lpop/rpop <key> #从左边/右边吐出一个值。值在键在,值光键亡。
rpoplpush <key1><key2> #从<key1>列表右边吐出一个值,插到<key2>列表左边。
lrange <key><start><stop> #按照索引下标获得元素(从左到右)
lrange mylist 0 -1 #0左边第一个,-1右边第一个,(0-1表示获取所有)
lindex <key><index> #按照索引下标获得元素(从左到右)
llen <key> #获得列表长度
linsert <key> before <value><newvalue> #在<value>的后面插入<newvalue>插入值
lrem <key><n><value> #从左边删除n个value(从左到右)
lset<key><index><value> #将列表key下标为index的值替换成value
3.2.2 数据结构
它的底层实际是个***双向链表***,对两端的操作性能很高,通过索引下标的操作中间的节点性能会较差。

-
在列表元素较少时:使用一块连续的内存,ziplist压缩列表,所有元素紧挨着存储
-
在数据量比较多时:改为quicklist快速列表,将ziplist用链表组合起来

优点:Redis将链表和ziplist结合起来组成了quicklist。也就是将多个ziplist使用双向指针串起来使用。这样既满足了快速的插入删除性能,又不会出现太大的空间冗余。
3.3、Set集合
Redis的Set是string类型的无序集合。Set和list类似,但是Set能够自动排重
它底层其实是一个value为null的hash表,所以添加,删除,查找的复杂度都是O(1)。
3.3.1 常用命令
sadd <key><value1><value2> #将一个或多个member元素加入到集合 key 中,已经存在的member元素将被忽略
smembers <key> #取出该集合的所有值。
sismember <key><value> #判断集合<key>是否为含有该<value>值,有1,没有0
scard <key> #返回该集合的元素个数。
srem <key><value1><value2> #删除集合中的某个元素。
spop <key> #随机从该集合中吐出一个值。
srandmember <key><n> #随机从该集合中取出n个值。不会从集合中删除 。
smove <source><destination>value #把集合中一个值从一个集合移动到另一个集合
sinter <key1><key2> #返回两个集合的交集元素。
sunion <key1><key2> #返回两个集合的并集元素。
sdiff <key1><key2> #返回两个集合的差集元素(key1中的,不包含key2中的)
3.3.2 数据结构
Set数据结构是**dict字典**,字典是用哈希表实现的。
Java中HashSet的内部实现使用的是HashMap,只不过所有的value都指向同一个对象。Redis的set结构也是一样,它的内部也使用hash结构,所有的value都指向同一个内部值。
3.4、Hash哈希
3.4.0 引入
Redis hash 是一个键值对集合。string类型的field和value的映射表,hash特别适合用于存储对象。
类似Java里面的Map<String,Object>
举例:用户ID为查找的key,存储的value用户对象包含姓名,年龄,生日等信息,如果用普通的key/value结构来存储
主要有以下2种存储方式:

hash则是通过==key(用户ID)+field(属性标签)==操作

这样既不需要重复存储数据,也不会带来序列化和并发修改控制的问题
3.4.1 常用命令
hset <key><field><value> 给<key>集合中的 <field>键赋值<value>
hget <key1><field> 从<key1>集合<field>取出 value
hmset <key1><field1><value1><field2><value2>... 批量设置hash的值
hexists<key1><field> 查看哈希表 key 中,给定域 field 是否存在。
hkeys <key> 列出该hash集合的所有field
hvals <key> 列出该hash集合的所有value
hincrby <key><field><increment> 为哈希表 key 中的域 field 的值加上增量 1 -1
hsetnx <key><field><value> 将哈希表 key 中的域 field 的值设置为 value ,当且仅当域 field 不存在 .
3.4.2 数据结构
-
在field-value长度较短且个数较少时:使用一块连续的内存,ziplist压缩列表,所有元素紧挨着存储
-
否则:改为hashtable(哈希表)
3.5、Zset有序集合
Redis有序集合zset与无序集合set非常相似,都是没有重复元素的字符串集合。
但是zset加入了评分score:评分用来从低分到高分方式排序集合成员
3.5.1 常用命令
zadd <key><score1><value1><score2><value2> #将一个或多个 member 元素及其 score 值加入到有序集 key 当中。
zrange <key><start><stop> [withscores]
#返回有序集 key 中,下标在<start><stop>之间的元素.withscores,可以让分数一起和值返回到结果集。
zrangebyscore key minmax [withscores] [limit offset count]
#返回有序集 key 中,所有 score 值介于 min 和 max 之间(包括等于 min 或 max )的成员。有序集成员按 score 值递增(从小到大)次序排列。
zrevrangebyscore key maxmin [withscores] [limit offset count]
#同上,改为从大到小排列。
zincrby <key><increment><value> #为元素的score加上增量
zrem <key><value> #删除该集合下,指定值的元素
zcount <key><min><max> #统计该集合,分数区间内的元素个数
zrank <key><value> #返回该值在集合中的排名,从0开始。
案例:实现一个排行榜

3.5.2 数据结构
SortedSet(zset)是Redis提供的一个非常特别的数据结构
-
一方面它等价于Java的数据结构
Map<String, Double>,可以给每一个元素value赋予一个权重score, -
另一方面它又类似于
TreeSet,内部的元素会按照权重score进行排序,可以得到每个元素的名次,还可以通过score的范围来获取元素的列表。
zset底层使用了两个数据结构
(1)hash,hash的作用就是关联元素value和权重score,保障元素value的唯一性,可以通过元素value找到相应的score值。
(2)跳跃表,跳跃表的目的在于给元素value排序,根据score的范围获取元素列表。
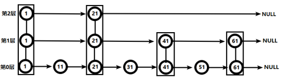
什么是跳跃表?
有序集合在生活中比较常见,例如根据成绩对学生排名,根据得分对玩家排名等。
对于有序集合的底层实现,可以用数组、平衡树、链表等。①数组不便元素的插入、删除;②平衡树或红黑树虽然效率高但结构复杂;③链表查询需要遍历所有效率低。
Redis采用的是跳跃表。跳跃表效率堪比红黑树,实现远比红黑树简单。
对比有序链表和跳跃表,从链表中查询出51
有序链表:

要查找值为51的元素,需要从第一个元素开始依次查找、比较才能找到。共需要6次比较。
跳跃表:
从第2层开始,1节点比51节点小,向后比较。
21节点比51节点小,继续向后比较,后面就是NULL了,所以从21节点向下到第1层
在第1层,41节点比51节点小,继续向后,61节点比51节点大,所以从41向下
在第0层,51节点为要查找的节点,节点被找到,共查找4次。
