作者:RayChiu_Labloy
版权声明:著作权归作者所有,商业转载请联系作者获得授权,非商业转载请注明出处
目录
单高斯分布GM估计参数
关于高斯分布
高尔顿钉板
单维高斯概率密度函数
单维高斯GM参数估计过程
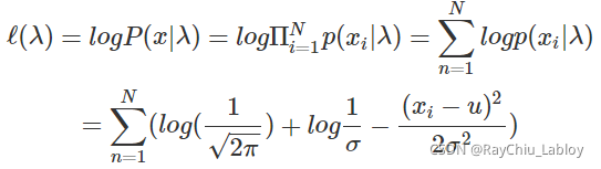
首先定义似然函数
让ℓ(λ)对u求偏导数,然后令其等于0,可以得到
让ℓ(λ)对σ求偏导数,然后令其等于0,可以得到
混合高斯分布GMM的参数估计
什么是GMM?
举个栗子
GMM的似然函数
公式
怎么估计数据来源于哪个分布?
针对似然函数尝试用极大似然估计的方法来解GMM模型
EM算法求解GMM
E步:
M步:
单高斯分布GM估计参数
关于高斯分布
高尔顿钉板
自然界中,很多事物的取值服从高斯分布。如高尔顿钉板:

每次弹珠往下走的时候,碰到钉子会随机往左还是往右走,可以观测到多次随机过程结合的结果趋近于正太分布。
单维高斯概率密度函数

其中
表示均值,
表示方差。
单维高斯GM参数估计过程
我们的方法是根据极大似然估计求解高斯分布中的参数 λ = (
,
)。这里以一维高斯分布为例。
首先定义似然函数

让ℓ(λ)对u求偏导数,然后令其等于0,可以得到

可以得到
的值为
,这不就是均值了么。
让ℓ(λ)对σ求偏导数,然后令其等于0,可以得到

可以得到
的值为
,这不就是方差了么。
混合高斯分布GMM的参数估计
什么是GMM?
GMM全称Gaussian Mixture Model,是一种机器学习算法,是一种聚类模型,它是多个高斯分布函数的线性组合。
理论上GMM可以拟合出任意类型的分布,通常用于解决同一集合下的数据包含多个不同的分布的情况(或者是同一类分布但参数不一样,或者是不同类型的分布,比如正态分布和伯努利分布)。
举个栗子
如果二维空间有一些样本,如果没有GMM,用一个高斯分布来描述的情况:

但是我们明显感觉样本是可以分为两个部分表示的,这时候GMM可以帮我们用两个高斯分布来表示:

两个高斯分布分别记为
和
,其中
为均值,
为协方差矩阵,显然这种方式更加合理,而这就是GMM模型了。
那多维的高斯分布参数估计怎么来做?我们怎么求出所有的 μ,σ ?
GMM的似然函数
公式

N(x∣μk,Σk)称为混合模型中的第k个分量(component),是正太分布的概率密度函数。如前面图中样本的例子,有两个聚类,可以用两个二维高斯分布来表示,那么分量数K = 2。
是混合系数(mixture coefficient),且满足:

![]()
可以理解这两个条件就是现验条件, 实际上,可以认为
就是每个分量N(x∣μk,Σk)的权重。
Σk=σk 是第k个分量协方差矩阵,μk是第k个分量均值。
就是k个高斯所有情况都考虑进去的MLE极大似然估计的对数似然形式函数。
怎么估计数据来源于哪个分布?
后验概率
起着一个重要的作用,它也被称为响应度(responsibilities),表示对于每个样本xi,它由第k个组份生成的概率,根据贝叶斯定理,后验概率可以表示为:

这个式子是贝叶斯公式推导来的,Zk是某个类别:

所以,混合高斯模型并不是什么新奇的东西,它的本质就是融合几个单高斯模型,来使得模型更加复杂,从而产生更复杂的样本。理论上,如果某个混合高斯模型融合的高斯模型个数足够多,它们之间的权重设定得足够合理,这个混合模型可以拟合任意分布的样本。
针对似然函数尝试用极大似然估计的方法来解GMM模型
高斯混合分布的形式由参数π,μ,Σ控制。解GMM模型,实际上就是求得这组参数,使得其确定的GMM模型最有可能产生采样的样本。看上去和单维高斯的问题类似,我们我可以尝试利用极大似然估计的方法来求解参数。
步骤思路是先求导,然后令导数为0,得到模型参数π,μ,Σ,好像这样就解决了,然而仔细观察似然函数可以发现,对数似然函数里面,对数里面还有求和。实际上没有办法通过求导的方法来求这个对数似然函数的最大值,因此此时就用到EM算法求解了。
单维高斯的情况是,如果我们已经清楚了某个变量服从的高斯分布,而且通过采样得到了这个变量的样本数据,想求高斯分布的参数μ,Σ,这时候极大似然估计可以胜任这个任务;而如果我们要求解的是一个混合模型,只知道混合模型中各个类的分布模型(譬如都是高斯分布)和对应的采样数据,而不知道这些采样数据分别来源于哪一类(隐变量),那这时候就可以借鉴EM算法。EM算法可以用于解决数据缺失的参数估计问题(隐变量的存在实际上就是数据缺失问题,缺失了各个样本来源于哪一类的记录)。
EM算法求解GMM
E步:
按照一般EM公式得到:

这不就是在描述混合高斯分布时说到的很重要的后验概率
么,表示样本xi由第j个组份生成的概率,Σ就是σ。
M步:
求得Qi后之后,我们就得到了最贴近原对数似然函数的下界函数,那我们对它求极值就可以得到更新后的参数,先看一下这个下界函数:

这是将
的k种情况展开后的样子,未知参数
,
,
。
固定
,
对
求导得:

令上式等于0,得到

这就是我们之前模型中的μ的更新公式。
同样地,我们可以求出Σ的更新公式:

对于π的求解可能复杂一些,首先我们把下界函数中与π不相关的项全部去掉,实际上需要优化的公式是:

根据
,构造拉格朗日乘子:

还有
会自动满足,求导得:

令其等于0:
这样就神奇地得到了β。
于是得到M步中ππ的更新公式:

我们再来看看这些参数的意义,其实未尝不符合我们的直觉认识。
可以看做第 i 个样本属于第j类的概率,那么所有样本中属于第j类的个数就是
之和,每个样本xi对应第j类的值就是
,这样算的平均数就是第j类对应的μ,继续按照这个思路计算的方差就是第j类的Σ,第j类的概率就是第j类的个数除以总样本数。所以,GMM模型虽然推导起来有点吓人,但仔细想想它最后的结果也是符合我们的直觉认识的,每个样本都是一部分属于某一类,所有样本中的某一类的部分构成了这一类的分布。
参考:机器学习笔记-EM算法与混合高斯模型(GMM) - WarningMessage - 博客园
【机器学习系列】GMM第二讲:高斯混合模型Learning问题,最大似然估计 or EM算法? - 知乎
高斯混合模型(GMM)及其EM算法的理解_小平子的专栏-CSDN博客_gmm
EM算法和GMM算法的相关推导及原理 - Baby-Lily - 博客园
如何理解GMM模型及应用-python黑洞网
梯度下降和EM算法:系出同源,一脉相承 - 科学空间|Scientific Spaces
【机器学习系列】GMM第二讲:高斯混合模型Learning问题,最大似然估计 or EM算法?_【AI机器学习与知识图谱】的博客-CSDN博客
【如果对您有帮助,交个朋友给个一键三连吧,您的肯定是我博客高质量维护的动力!!!】
